核能热气球探测木星飘发的重要意义在于探索木星上可能存在的生命系统,该生命系统依靠木星的物质对流从木星内部获得化学能维持其代谢。分析表明,核能热气球探测木星并不是一个昂贵的行星探测计划。
这大约是距今一个木星年之后的2007年,一套核能热气球探测系统飘浮木星大气高层,它送出的无线电信号通过位于木星轨道上的中继站,穿越7亿公里的距离,向遥远的地球发回探测结果。
初步探测结果显示,木星在温度为50℃(320 °K)至-25℃(250 °K)的星层中存在生态层。木星的生命系统与地球上的生命系统存在很大差别。木星的生命系统与木星中存在的内外之间巨大物质对流相关。木星的生命系统已经构成木星整体物质与能量循环的一部分。一升的物质流伴随着高温将这颗行星内部的高能量化学物质带出,温度随着高度增加而降低后进入生态层,使木星的生命系统得以获得生长与繁衍所需的能源;而下降的物质流则将生命系统代谢产生的低能化学物质带入木星深处,这些物质在木星深处的高温高压条件下,吸收能量重新变成高能量的化学物质,并逐步扩散,再随木星中的上升物质流进入木星的生态层。
上升与下降的物质流在交界处存在一系列旋涡,处于生态层中的这些旋涡是木星生物群落的密集区。
“尚不能证明木星内部能源来源于木星智慧生命所控制的轻元素聚变过程。尚未发现木星存在高等智慧生命的可靠证据。”
以上几行文字是一个激动人心,当然也可能有点过于乐观的展望。但笔者认为这并非异想天开。
根据人类已掌握的知识,生命按代谢方式的不同可大致分为四类,光能自养型、光能异养型、化学能自养型与化学能异养型。
笔者认为,木星中的生命系统的基础是化学能自养型生命体,这种生命体从木星上升物质流中的高能量化学物质获得能量,形成葡萄糖或者其它类似于葡萄糖的化学物质,从而为其它生命形式提供了“通用的”能源,使之能繁衍与进化出一个丰富多彩的生命(或者生态)系统。如果将地球上的生命系统大致归纳为“万物生长靠太阳”,而上述所讲在木星可能存在的生命系统应归纳成“万物生长源地下”。我们尚难预料木星上可能存在的生命系统的具体细节。当然,对于生命、生态系统的理解与预测碰到难点与迷茫并非这里独有。
纵观九大行星,如果太阳系中存在地外生命系统的话,这个生命系统八成应当在木星上。而不是以前人们曾寄予极大希望的火星。更进一步,如果众说纷纭的不明飞行物(UFO)确系地外文明在地球上的飞行物,那么她的出处可能并不遥远,她多半应当来自于木星。
笔者在另一篇“探索木星”(《世界科学》94年第7期)一文中提出了用核能热气球探测木星的基本思路。经过进一步的研究探讨,该构思已经更为明晰与实际了。
进一步探讨表明,核能热气球探测木星并不是一个非常昂贵的行星探测计划。
早先曾经提出在木星上投放10个左右的核能热气球探测器,并配备2~3个木星轨道中继通讯卫星,以进行大规模木星探测研究工作,这无疑较昂贵。实际上,初期仅需一套进入木星的核能热气球探测器与一颗木星轨道中继通讯卫星就足够了。由于核能热气球可以“悬停”于木星大气高层,在随木星自转时总有机会让木星轨道上的中继站正好位于它的上方。所以,尽管由于核能热气球探测器有可能发现木星上存在特定形式的生命系统,其意义绝不亚于载人火星航行。当然,如果初期的探测即获得重要发现,例如像本文开头所展望的那样在木星上发现地外生命系统。从而拓宽探测研究,追加研究费用,则应另当别论。不过,我认为人类会乐于在这种情形下追加投入的。
地球上热气球飘飞是一门熟得几乎有点古老的技术。早在1500年前的南北朝时期,我国的先民们就已经在战场上运用一种称之为“孔明灯”的小型热气球作为联络信号。1783年秋天,当法国人蒙高菲兄弟首次实现载人热气球飘飞——尽管只飘浮了25分钟,飞越了不足10公里的距离——整个欧洲差不多都被激动了。随着历史的变迁,热气球已经变成当代人类的一种航空体育运动工具。热气球虽然在速度、可操纵性等方面远不如在它之后问世的轻气球、动力飞行器(飞机与直升机等)来得性能优越,但它的长处依然吸引人:平稳、节省而且简便,正是由于这些优点,使得当今世界上常有数千只热气球在飘飞——这比历史上任何时候都要多。也正是由于这些优点,加之于热气球“压”不坏(至少球袋不会被压扁),长时间(在核供热条件下)所升降(调整热源的热功率)等特点,等者才认定它将是人类探测木星的理想选择。
最近,我们初步分析了热气球在核能装置稳定供热情况下所能负担的质量(即基本负荷能力)与热功率、热气球半径等因素之间的关系。
考察核能热气球的基本负荷能力应当注意两个平衡关系:第一,热气球从表面上散发出去的热量应当与核加热装置产生的热量相等;第二,热气球的基本负荷能力等于热气球受热时排出的气体质量。在一简化模型下我们得到,热气球的基本负荷能力与核心加热装置的热功率成正比,同时它还与热气球飘飞处的背景温度、大气等效分子量、压强以及气球的隔热条件等因素相关。
热气球飘飞处的背景温度下从三个方面影响其基本负荷能力。第一,根据气体分子运动理论,气体的热传导率随气体分子运动速度上升而增高,这导致气体的热传导率大致与气体温度(绝对温标)平方根成正比。气体热传导规律中有一个有趣的现象值得一提 :这就是在相当大的范围内,气体的热传导率基本与压强(即与密度)无关。由此可以看出,在相同的热功率条件下,热气球在较低的背景温度下可以维持较大的温差I第二,背景温度低,则在相同条件下气体的密度较大I第三,较低的背景温度使气体在相同的条件下、相同的温差时具有较大的膨胀比例。综合上述三方面因素,核能热气球的基本负荷能力与其所飘飞位置的背景温度2.5次方成反比。
核能热气球飘飞处的大气等效分子量从两个方面影响其基本负荷能力。有一点是显而易见的,这就是在通常情况下,气体的密度正比于气体的等效分子量。另一点似乎不很直观 :在相同条件下,气体的热传导率随着其等效分子量上升而按一定规律下降。当然,在气体分子运动论概念下这也不难以理解:在相同的温度条件下,不同分子量的气体分子应当具有大致相同的运动能量,这样,分子量较小的分子应当具有较大的运动速度,从而具有较大的热传导率。综合上述两方面的影响,核能热气球的基本负荷能力与其飘飞处的大气等效分子量1.5次方成正比。
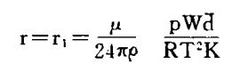
在简化模型下,我们可将核能热气球基本负荷能力L表达成热功率W。飘飞处的背景温度T,大气等效分子量m与背景压强p等因素的函数:
式中c、σ与k为常数,d为热气球等效隔热层厚度,S为热气球的表面积,V为热气球的体积。当热气球接近球体时,比值(V/S)接近球体半径r的三分之一倍。所以,热气球的基本负荷能力在相同条件下大致与热气球的半径成正比。
核能热气球的基本负荷能力主要分配于三部分:热气球袋的质量——当使用相同材料时,热气球袋的质量大致与其半径的平方成正比,核能供热装置的质量L1,以及探测器的质量L2——被称之为有效负荷能力。综合上述讨论,我们可以将有效负荷能力表达为:
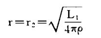
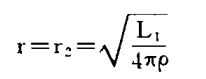
式中μ为气体等效克分子量,k为气体的热传导系数,R为气体常数,ρ为热气球袋的单位面积质量值。根据数学分析运算规则,我们可以求得当热气球半径为
时,核能热气球有效负荷能力达到最大值 :
这时,包括热气球袋与核加热装置质量在内的探测系统总质量为:
为了与实际情况相接近,我们引入了最佳有效负荷率的概念。
所谓有效负荷率就是有效负荷能力L2与基本负荷能力L之比,我们记为η。综合上述讨论,有效负荷率可以表示成热气球半径r的函数:
由数学分析原理,当
时,可以实现最佳有效负荷率:
我们可以注意到,当热气球袋的质量与核供热装置质量相等时,该探测系统接近最佳有效负荷率。如果能设计出较轻的核加热装置,则可在满足最佳有效负荷率的条件下实现较轻的探测木星的核能热气球探测系统。
作为各类卫星、空间探测器的稳定、可靠与相对较廉价的大功率电源的一种选择,空间核电技术在过去的几十年中,在以前苏联为代表的航天事业发达的国家中得到了充分发展。人们可以将太空核反应堆的堆芯做得只有一只纸篓那样大。
探测木星热气球的核热源与以往的空间核电源是有区别的。相比之下,应当认为热气球的核热源较为简便些——尽管它目前还仅是一个构思。这是因为核供热装置在木星低温的大气中,不再需要复杂而且笨重的辐射冷却系统。
当散热系统与发电系统被调整后,在相同的热功率的前提下,用于木星探测热气球的核供热装置的质量预计仅为以往空间核电装置质量二分之一至三分之一。当我们注意到热功率在100 kw左右的空间核电装置的质量为1吨左右,所以我们有理由相信能够设计出质量控制在500公斤以内的用于木星探测热气球的核加热装置。这样,我们就可以做出质量大致与“伽利略”号相当的核能热气球木星探测系统。
自“阿波罗”登月、“海盗号”火星软着陆之后 · 行星际航行与探险计划几经周折,似乎正在迷失方向,失去重点。笔者认为,探测木星,并在木星中寻求太阳系中地外生命系统应当而且能够成为未来10~20年行星际航行探测的新的重点与目标。在进入木星的各种方案中,笔者认为核能热气球应当是最佳选择方案。
所以,我们可以期待,人类不久将能实现让核能热气球飘飞在木星上。
笔者对曹绳全教授,张启新高工的有益讨论表示感谢。作者对郑听森、周军红、王琼等同志的帮助表示感谢,作者通讯地址:江苏常州电子工业职工大学,邮编:213001。







