【按语】这是一篇综合外信息素的研究近况的文章,它比较全面介绍人的嗅觉、动物对气味的感受与化学物质的关系,进而对化学通讯理论进行扼要说明。是一篇材料比较丰富的综合性文章。对于研究生物信息素和化学通讯的人来说,不失为一篇好的参考文章,或许可以从中得到启发和帮助。
(一)人的嗅觉与化合物的气味
现代技术的发展偏于视觉与听觉。这是由于光学与声学与电子技术的结合,电报、电话、电视等收录设备用于互通情报,交流思想。但其基础是由于人类通过集体劳动和社会活动,发展和丰富了语言工具,结合表情能很好地表达思维的结果。电时代以前,语言到文字,听、视结合。这样远距离用书信,近处用交谈方式互通信息。至于点头示意、秋波传情、大声呵斥等也是感情信息的表达。
人类有了衣着之后,皮肤(总表面约1040 cm2)大部分被包起来,只有头与手能接触和抚摸东西,触觉发展有限,只对热的反应还有一些。嗅、味两种感觉现代称为化学感觉,因与化学物质性状关系明显而得名,味的化学不在此讨论。至于嗅觉,人们限于辨香臭,且范围与精度也不易确定。加之社会进步,事业发达,人们处理的事情多,靠气味分析问题不便。在这方面是比不上狗的灵敏,也远不如昆虫的专一。
据计算,8个分子就可以驱动人的嗅觉细胞信号,40个分子可能产生辨认的感觉。特例列在表中,数据是它们可引起嗅觉的低限。有趣的是,恶臭的粪臭素在很稀浓度时,却具很好的气味,成为香料中的一种配料。
对丁酸说来,它是呼吸中主要的臭气物质,也可由脚的汗腺排泄0.9%。因此侦查破案注重脚印,除尺寸特征外,用狗去嗅,便能跟踪追缉。据估计,通过鞋底至少有2×1011个分子储留在每一脚印中,它为人能感受极限的100倍,用狗及时追踪自然更是可拧。当然,这还可能与因人而异的特殊气味有关。将来也许可能像指纹一样,用很精密的色谱式仪器来鉴定每个人的气味特征作为档案。这对分析化学工作者说来,目前是太高的灵敏度要求。现在工业技术已应用嗅敏仪,看来可以应用这类电子警犬来为保卫国防与社会治安服务。
对气味物质的感受也可因性别和婚姻状况而异。例如,十五内酯和乙酸睾丸酮酯这两种化合物就只有已婚妇女能感受到,男人和未婚女子不易感受到它们的气味。
年龄不同,代谢情况变化,生不同疾患,生理机能紊乱情况各别,均可放出或易感受不同气味。如狐臭发生于成年人性功能旺盛时期,并以女性为多。中医四诊中有闻气味一项,对诊断是有帮助的。不过对医生说来是件不卫生的事,同时要很有经验才易确辨,有仪器分析就好了。
美国碳化物公司的T. M. Hellman和F. H. Small在1973年就14种石油化学品的气味特征、感受限度作了报道,提供这些常用石油化学品的简便察觉的数据。
人劳动或运动时易出汗,排出物中有乳酸和赖氨酸是惹蚊子的,它们就是诱蚊剂。因此人们用揩洗和打扮来掩饰生理上原有的气味,防止蚊虫叮咬。
在美化人们的生活方面,香料也起着重要作用,虽然它们有时掩盖生理上的本来面目。除了有益于社会文明交往外,许多植物花果的芬芳却是天然美境,有益人们身心健康,不少还是治病药物。
在看古装戏时,多半认为野蛮一点的战将头盔上插两根野鸡毛作装饰品,大概是模仿昆虫的触角,因为后者在昆虫中是一重要器官。现在昆虫生理学中已发展了电触角技术,研究各类昆虫对各种信息素物质的反应。人类没有触角,只有用脸互相靠近,或一方用嘴去吻对方的习惯来表示亲热,或许这正是古老的仿动物式的识别好友与亲人的传统遗迹,从科学史上看,也许是嗅嗅气味对不对头的意
(二)动物的气味信息
动物以气味作信息素的事例已知道得很多了。系统的叙述是生物学中专著的任务,但即使是稍稍涉猎一下也是很有兴趣的。这种兴趣作为有机化学工作者说来是对化合物结构与信息的关系。
哺乳类:到目前为止,对嗅觉信息灵敏性方面的冠军还是狗。它鼻中管理嗅觉的细胞占面积为人的17倍。狗的优先地位大概也与长期的喂养与训练有关,并形成了一定的综合分析能力。至于对个别化合物的感受,畜类一般以各种短链脂肪酸作为它们间的信息素,依其种类的代谢机制不同,其对个别特定脂肪酸的感受能力也会不同。我们到畜棚中去常嗅到各种不愉快的膻腥味,这对它们可能正是信息的依据。和人相似,高级灵长类的嗅觉信息也不具重要地位。
特例:
(Ⅰ)和(Ⅱ)是麝与非洲灵猫身上一种腺体分泌物,用于它们间的通讯的。人类取来作为化妆品中的高级香料。同时,麝香在中医外科用作镇痛药。(Ⅲ)是一种尾迹鹿在后腿关节处腺体中分泌出来的物质。于受惊逃跑时分泌,造成尾迹以警告同类。
许多母兽在配偶、怀孕哺乳过程中,均靠嗅觉信息。凭气味择偶和认儿是不足为怪的,但有的母鼠如怀孕后遇到不是配偶的其他雄鼠的气味包围时,甚至可以中止怀孕,将胚胎再吸收掉。真是气味相投,显造化之妙。
禽类:研究报道少,争议多。据电生理反应研究,十四种禽类对乙酸戊酯这个香料有反应。其中包括鸡、鹅和鹰。
鱼类:由于水中生活,其通讯就是味觉、触觉和声觉混同一起。海水中化学成分复杂,这方面信息分辨将是一种有趣的事。
爬虫类:鳄鱼以辣味香气择配。盲蛇能很好辨认军蛇的尾迹(气味),又可排泄一种气味,号召同类,起集合作用,排斥其他蛇和动物来夺取食物,起警告作用。
昆虫类:这里先以社会性昆虫——蚁作代表。对它们的通讯方式早已引人注目并研究得详细。首先,对它们高度的组织性的了解与所谓尾迹素有关,它们是按其同家族的共同尾迹素信息行动的。有一种蚁尾迹素是:4 - 甲基吡咯 – 2 - 羧酸甲酯。
蚁类的第二种化学信号是警告素,它们是:
有一种白蚁(Drepanotermes tubriceps )则利用柠檬烯发警告信号。
第三种化学信号物质用于报丧。死蚁身上发出一种死亡信息,使其同伴将它拖走。如活蚁身上沾有此物质,则其他蚁也会把它拖走,不管沾有者如何反抗,直到此物质的气味消失为止。
此外,多数蚁类还用甲酸作战剂,南美的剪叶蚁(leaf cutter ant)用的是3 - 羟基癸酸。人们被蚁咬后皮肤受刺激主要是甲酸的效果,甲酸在有机化学早期书上称为蚁酸。也有些蚁类使用萜类物质于战争。这些萜类如香茅醛、柠檬醛、苎、法尼醛、紫苏油烯和琉蚁二醛等都一般是来自植物原有成分或稍加改造的产物。有人用C14的乙酸或3 - 甲基 - 3,5 - 二羟基戊酸衍生物喂蚁,结果有C14的香茅醛和柠檬醛产生。节足动物中一种2 ~ 5厘米长的蝎,使用战剂更惊人。它能发射一种含84%乙酸,5%辛酸和11%水的混合物至80厘米远的距离。
有些化学品可用于驱逐昆虫。如N,N - 二乙基 – m - 甲苯酰胺和α - 乙基 - 1,3 - 己二醇就是驱蚊子的。α - 蒎烯对赶松皮甲虫有效等等。
(三)昆虫信息素
昆虫是很大的类别。在我们星球上,人与昆虫的数目比约为1:3×108。好在绝大多数的昆虫对人无害甚至有益,只有少数——少于百分之一——的昆虫才与人类竞争食物或传播疾病。由于这些昆虫对农林牧副各业巨大的影响,昆虫生理研究一直很活跃。近年来,有机汞、磷、氯农药的环境污染及昆虫抗药适应性的增长,对农业害虫的防治,除生物防治外,发展昆虫生理活性物质防治法,利用昆虫信息素的研究进展迅速。昆虫的生活环境是在植物群落之中,因此它们与植物间的相互作用就值得重视。这样,从植物的根、茎、叶、花、果与昆虫的就食、配偶、孵化、成长、蜕化等找出化学物质上的联系,对弄清昆虫生活的内部信息和外部信息是重要的。
各类甲虫对不同的萜类化合物有专一反应。供给甲虫吃住的植物的成分中,各种萜类化合物有的成了它们的某类信息素,在已知的昆虫信息素中,绝大部分是具有双键的脂肪醇、醛、酮、酸、酯。有的本来就是植物一定生理阶段的产物,有的是昆虫在其生活环节中将它们稍加改造的结果。少数是含有O、N的脂环系和芳杂环系。这样我们可将昆虫信息化合物的种类范围加以缩小。
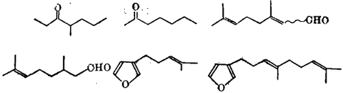
当前研究活跃与进展很大的是性信息素,有几种已用于农林副业的实践。实用的目的在于以此引诱昆虫达到控制与消灭,因此统称能达此目的的物质为引诱剂。其实应分清确实为昆虫施放作性通讯的信息素与有此相仿效果的人工赝品,后者才是性引诱剂。这方面的有名例子是棉红铃虫性信息物Z,Z和Z,E-7,11 - 十六双烯 – 1 - 醇的乙酸酯的混合物,和人工模拟的类似物Z – 7 - 十六烯 – 1 - 醇的乙酸酯。后者引诱效果虽稍差(约差50倍),但从合成角度看却容易制取,这种仿生制剂是很有意思的。
其他的昆虫性外信息素已被研究确定的不少,但以鳞翅目昆虫的为多,目前国内外这方面的工作正在发展,国内这方面的实用研究也已取得显著成果。
信息素并不限于性与生殖方面,有些物质对昆虫不分雌雄均有引诱作用。这是与昆虫世界的生活需要分不开的,就是集合、示迹、觅食的信息素,当然与其相处的植物的成分密切相关。如小蠢科的集合引诱剂,是一些萜类及其含氧衍生物的混合物。这些物质是由雄虫或雌虫先对寄主入侵,摄食后分泌出来与寄主的挥发性萜类一起成为入侵集合信号,招引同类。其混合配比则因昆虫种类而异。
示迹信息素与集合信息素功用是很类似的。前面谈过蚁类的。这里举蜜蜂的例子。它们以牻牛儿醇、醛、酸及其类似物作为示迹物。这又与萜类、香料化合物相联系,与植物的花、果有关。
上述各种引诱作用物质是昆虫体外作用的信息素,这是与嗅觉、触觉相联系的化学通讯的范畴。从信息素看,还有体内作用的内信息素一类。作为昆虫信息素一个整体,在此也提一下。这就是蜕皮激素与保幼激素,它们在养蚕研究实践上很有意义。前者是一类留体化合物,后者又是一类有双键脂肪酸酯的环氧衍生物,取名激素正是从人体中激素这一内信息传递物移植的。“春蚕到死丝方尽”。蚕的正常生态是由卵_幼虫 - 蛹 - 成虫(蛾),在化蛹前吐丝。人们现在通过蜕皮激素控制其蜕皮过程,应用保幼激素使其长葆青春,达到多产蚕丝的目的。这都是以内信息作用控制生理代谢的办法,内容是很丰富的。
(四)化学通讯的理论概况
在我们对动物特别是在昆虫世界作了一'次走马观花式的旅行后,我们总想从理论上来说明这部分自然的奥秘:嗅觉、触觉、信息素与化学通讯;香料与化学品气味的鉴定及其对生态的影响等。这方面的学说、设想是不少的,但比较完整的理论还没有。
自然,机械的气体分子扩散及吸附观点是不足解释如此敏锐感受和复杂多样的表现的。与立体化学有点相仿的象形理论与电波传播似的振动理论均有一定道理,配合感受部分的生物膜接受位点说法,可以对化学通讯过程有一粗略的总的图像。至于类似颜色学中的生色基、助色基的香基学说,虽更接近于有机化学,但缺点也很多。
象形理论由Amoore所倡导,原提七个原香,以七种几何形式象征七个基本气味,其余气味由这七个来组合。大有牛顿三原色以合成五颜十色的味道。后来又修订为20 ~ 30种原香,这种只考虑分子大小与形状的配位理论,遭到过香基学说的反对,后者是强调官能团的特殊作用的。从接受位点说法看,发射气味的分子形状与大小当然是重要的,特殊基团如双键、—OH、—CHO、—CO、—COOR、—CN、和—NO2等也常与气味物质相联系。关键在
于下述两个问题如何来回答:
(一)发射气味如何到达接收方面;(二)如何由接收部分严格定义整个系列气味。
振动理论原则上解决了传递问题,以波的形式到达接受位点,这样发射物的形象自然也在波方面反映出来,以此刺激接受位点产生对发射物的感觉,不一定要分子机械地吸附在位点上。波形式传播是物质运动的一种形式,这里不是机械的粒性概念。有人用一种昆虫引诱剂放在玻瓶内也从远处招来了昆虫,这只有振动与波传播才好理解。某些性引诱剂能从几十、几百公尺外成功招引昆虫,当然不是气态分子运动的粒性扩散作用。昆虫引诱剂专一,也很类似。一般具有C12 ~ C16个碳链,既易由植物萜类化合物制取,又具有一定长度,不易为低分子有机物波形所干扰。特定的双键部位、构型和其他细节,便于同种族的信息确认,某些中间双键也避免脂肪链太长,链节自由旋转太乱而使波形难于辨别。
波是可以合成的。棉红铃诱由Z,Z和Z,E两个十六双烯醇酯以1:1混合组成,第一个双键在7 - 位上均为Z型,第二个在11 - 位上Z,E各别,它们的混合,其波形是可以11,12 - 位上两个碳为饱和的链的波形比拟的,因此已诱在11 - 处无双键的人工类似物具有天然信息素的相仿作用。看来7 - 位的Z型是很关键的。据报道,棉红铃诱的异构物,E,E与E,Z型10%即足以大木抑制引诱。
在其他信息素方面,有的可以纯粹物理方法代替化学物质。如驱蚊可以一种振动器发出一定频率来进行;黑光灯捕虫更是目前已广为应用的事,这当然与波的辐射有关,也是信息素作用的振动理论的一个证明。
振动理论在解释了发射传播与接受原则后,深入一点辨别气味信息上就有困难。这是由于接受部分的生理效应与神经感受问题很复杂,严格的气味分辨标准与系列尚未建立,品香学的比较标准是经验性的。从振动与波方面,频率、振幅、位相等自然可有客观标准,但应用于生物体上问题是远未清楚的。因为要从多个生理因素出发(对人来说还有主观因素、思维和心理效应)。在某些局部的简单情况下,才可以发挥仪器的作用,如嗅敏仪和电触角技术等。
至于只涉及发射与传播的振动问题,1937年Daison就指出的嗅气由于分子振动的设想,由Wright发展,50 ~ 500 cm-1的远红外领域的分子振动数与分子的嗅气特性有关。指出有嗅气的在远红外区有同样的振动数。但有几点不好说明:
[1] H2S,NH3,HCN在远红外区无吸收而有独特气味;(2)重氢置换了的分子在远红外区吸收甚大,向低振动数区“化学位移”,而嗅味性质不变;(3)与接收部分的相互作用不明确。
看来结合象形理论和分子振动的传播是比较可取的,接收部分随着整个分子生物学进展有了更清楚的概念后,化学通讯的理论问题就要好解决些。
主要参考文献
[1] John J. Vollmer and Susan A. Gordon:Che-mistry47(10)6-12(1974),48(4)6-11(1975),43(5),6-11(1975)
[2] 上海,江苏金坛等地关于昆虫激素的资料
[3] 栗原良枝;栗原坚三:化学の领域27(4)(1973)









