引力波早在1916年爱因斯坦就预言它的存在,并认为引力波以光速在太空中飞驰。1960年,美国马里兰大学的韦伯教授首先采用铝杆天线装置来探测引力波,嗣后,联邦徒国、苏联、美国贝尔实验宜也相继采用比铝杆天线更精密的装置来进行探测,结果都未直接探测到来自太空中的引力波。但是,根据爱因斯坦的广义相对论,如果太空中有一颗脉冲星在辐射引力波的话,那么它的公转周期就会缩短。1974年,美国物理学家泰勒博士,发现了一颗脉冲星以0.059秒的周期准确地发出无线电脉冲信号,经过长达四年时间的观测,终于发现其公转周期有了缩短,且其缩短值与理论上的计算值完全相符,这便间接地证实了这颗脉冲星确实是在发射引力波。自此以后,有关引力波是否存在的争论就逐渐趋于平息。近年来还设想和研制了许多有关发生和检测引力波的装置,并且成功地实现了对莫尔斯电码的发送和接收,这就为人类利用第三种波引力波通信展示了美好的发展前景。本文介绍引力波通信的实验结果。
——译注
人类在开始的漫长时间里,是利用声波来作为通信手段的。但是,其通信的范围有限。以后在1895年,由意大利的马可尼发明了无线电通信。
人类发现了第二种波,即电波,便使我们的生活发生了戏剧性的变化。人们不仅在地球上能进行通信,而且还能与降落在月面上的宇航员进行高质量的通信。
但是,这种电波的传播也有局限性,即使在地球上也不是通行无阻的。例如,当与太平洋深海中的人通信时,就要比与月球上的宇航员通信时要困难得多。原因是电波在空气中(或真空中)能很好地通过,但是在海水中就很难通过。
是否有声波和电波所不能传播的场所也能够有波通过,回答是有的,这就是引力波,也称第三种波。
由质量振动而产生的波
引力波在1916年爱因斯坦就预言它的存在,并由此导出一般相对论引力场的方程式,表示了引力场的波动是以光的速度来传播的。但是,确切地说,引力波并没有像电波那样被普遍地应用。目前,已有了很多有关检测引力波的实验报告,对此,各国的研究者有关引力波的争论也就显著减少。
引力波类似于电波:第一,引力波是一种以光速传插的横波;第二,电波是由于电荷的振荡而产生的,与此相对应,引力波是由于质量的振动而发生的。但是,电波与引力波传播的性质极不相同。如前所述,电波只能在空气中(或在真空中),即在所谓的自由空间里通过,而与此相对应,引力波究竟在哪些场所可以通过呢?概括地说,在地球上没有任何东西可以阻挡引力波的通过,无论是在海水中,或者是在金属中均能顺利地通过。
假如把一定强度的引力波传播出去,那么在传播过程中将会被介质所吸收,如将吸收到最初强度一半时所通过的距离称之为“吸收距离”,那么在水中的吸收距离为1029公里,在铁中的“吸收距离”为1030公里。由此可见,引力波具有长距离传播的优异特点。
但是,当利用引力波来进行通信时,在检测(接收)方面存在很大的困难。这里所指的困难是相对目前的技术条件而言,而从人类的知识发展来看,这并不是什么攻克不了的难关,事实上,至今有关检测引力波这方面的论文已发表了许多。
与电波相似的引力波
马可尼最初在实验室里发现了电波,然后利用天线进行间距的通信,不久,由于利用电波与远方通信的成功,马可尼被人们称之为无线电通信之父。
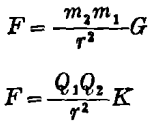
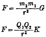
引力波与电波极为相似,具体可从如下两个公式进行分析:
上式为牛顿的万有引力定律,下式为电学中的库仑定律,这两个公式极为相似。这就不难想象,电波是在天线中通过电荷Q的振荡而发生的、而引力波是由于质量m的振动而产生的。
电场或引力场是由这两个公式决定的,也就是说,导出引力波的爱因斯坦方程式与导出电波的麦克斯韦方程式在形式上非常类同。
莫尔斯信号的发送和接收
在这里,介绍一个利用引力波来通信的实验装置,该装置称为韦伯天线,或者叫做韦伯引力波检测器。
这一装置是将压电变换器设置在铝棒上,用钢丝向下悬挂着。当把电压加在发信端一侧的天线上时,由于压电变换器的变换而产生的振动,会使铝棒也产生振动,结果在近距离内也引起了振动。即在铝棒近处的收信端一侧的天线上也会发生共鸣振动,该振动引起压电变换器振动,最后由压电变换器变换为电的形式来加以检测。
该装置其实是一个能引起质量振动的实验装置,它的铝棒半径为29厘米,长152厘米,实验场地设在宁静的山谷中。为了防止杂音的干扰,发送和接收天线均安放在真空容器内。发信端的接收信号被放大后,用笔描记录器加以记录。
在以上实验装置里,发送天线与接收天线之间的距离为1.7米。如果将发射与接收天线之间的距离增大(大于1.7米),那么接收到的信号就会显著减弱。如果将发送与接收天线之间的距离缩短(小于1.7米),那么输出电压可以达到1毫微伏。这样,利用现在的技术是完全能够检测到的。结果,在收信端可以接收到发信端发出的莫尔斯电码一长一短的信号,这相当于日文中的“ィ”(英文中“A”)。更确切地说,在韦伯天线中,由于信噪比不佳,不得不用计算机予以处理,结果接收到了“一长一短”的英尔斯信号。
从莫尔斯电码“ィ”开始入门
不管怎么说,引力波通信的试验是从莫尔斯电码“ィ”开始的,至于将来利用引力波来远距离通信,还有许多研究工作要继续进行。这正像马可尼当初那样,由近距离电波通信延伸到远距离通信,而引力波通信也要经历这样的过程。
首先,振动的质量究竟应该多大,是否存在一定的界限,这是值得研究的重要问题。
有人曾经提出采用环形波导管的方案来通信。但是,由于金属的电阻,以及目前能量应用的局限,这是相当困难的。如果利用超导技术也许会好一些,何况超导技术目前已有了突破。
另一方面,引力波的输出,其振动数有一种乘“6”的比例关系。质量大约不可能很大,即使是相当迅速的振动也有可能,这正像把含水的容器迅速摇动而水不会飞溅出来的道理一样。总之,在引力波的远距离通信中需要探讨的何题还相当多,现在正在解决之中。对此,从事于引力波检测装置的研究人员有这样的叙述:为了产生和检测引力波,必然会遇到许多极大的困难,但这取决于研制经费以及我们对引力波应用方面知识的深入了解。
第二种波——电波、目前在通信方面已相当拥挤,依靠简单的分隔频道已不能适应。这就意味着引力波在通信方面具有相当的魅力。继声波、电波之后,人类的第三种波——引力波已引起了人们的极大兴趣。
[《朝日新闻》,1986年3月号]
