查理士 · J · 佩德森(C. J. Pedersen)系美国研究化学家,他与另两位科学家一起分享了1987年的诺贝尔化学奖。
引言
本演讲,我要讨论冠醚的发现,它分成三个部分。
首先,因为每一个发现不仅扠发生在科学的前后联系之中,因此我将涉及我的生活背景。自从宣布我将分享本年度诺贝尔化学奖以来的几个星期中,人们对我的早期生活对于以后工作的影响发生了极大的兴趣。因而我想,简略地讲一下我自己对这一事件的意义是合适的。也许,我过去的生活细节对于我的工作不仅仅只有偶然的联系。
其次,我将为你们描述我的研究计划和导致我发现第一个冠醚的某些特殊事例。由于我是唯一体会了这个发现最初的兴奋和喜悦的人,因而我将花一部分时间来描述这一经历以与大家共享。
最后,我将讨论冠醚的性质及其制备。这样做,我希望大家能了解我总是个抓住机会的化学家,我抓住我在实验室中做过的那些令人满意的东西。同时,我也很是个工业化学家,我总是注意我的工作的潜在应用性。事实上,在我递送第一篇关于冠醚发现的主要论文时,美国化学会会志的编辑——马歇尔 · 盖茨(Marshall Gates)——就曾评说道,我的描述充满了工业行话。他总算发表了我的论文,寘是很幸运。
个人背景
我父亲1865年生于挪威。他是个航海工程师。由于兄弟不睦,在年轻时,他就永离了家乡,作为工程师乘船航行到了远东。他最后到达朝鲜并加入了朝鲜海关的舰队,那时朝鲜海关由英国人管理。他晋了级,后来又到最大的一个日本轮船公司担任总工程师的职务。但就在我父亲一次离家远航时,一种幼童疾病夺取了我哥哥的生命,这一悲剧,改变了我父亲的生活历程。此后,他就放弃了航海,而到Unsan矿区作了机械工程师,该矿区位于现今北朝鲜的西北地区。
我母亲1874年生于日本。在她家决定作大规模的大豆和蚕茧贸易时,她随家来到朝鲜。他们家在离Unsan矿区不远的地方建立了公司总部,就是在那里,她遇见了我的父亲。
Unsan矿区是美国人的一个黄金和木材租界,面积为500平方英哩。它是1870年前由朝鲜政府租给一个名叫詹姆斯 · R · 莫尔斯(James R. Morse)的美国商人的。在那里,我母亲怀了我,那时正是日俄战争前夕的仲冬,由于哥萨克兵经常渡过耶鲁河骚扰矿区,大家认为我母亲在那里不安全,因而,她与几位美国妇女一起被用包车送到了铁路的最南端。这样,我于1934年10月3日,诞生在南部的釜山港,这是朝鲜最大的港口。我的临世受到了加倍的欢迎、因为我母亲当时还沉浸在失去长子的悲痛中。在后来的十年里,她对我和我姊姊的教育倾注了全部的心血。
我四岁那年,第一次也是最后一次在矿区度过了—个冬天。该地区,由于受西伯利亚大草原,蒙古戈壁和朝鲜山脉的影响,素以气候严酷著称。那时,高大的西伯利亚虎还在乡间漫游,并被小马驹马具上的铃声所惊退。饿狼在寒冷的冬夜里出来咬啮小孩,而狐狸们则睡在屋顶的烟囱边取暖。
由于Unsan矿区是美国人的一个租地,它的高层管理者都是美国人,因而特别强调尽可能的美国式生活方式。乡村俱乐部是社交活动的中心,其生活几乎比传奇文学中美国西部的典型金矿里的还要文明。因此,我很早就开始与美国人交往了,我讲的也是矿区的通用语言——英语。
我不知道这样的环境对我的终身是否发生了影响,但我推测,可能如此。在东西整理好后不能于短时间内交递的荒野里、美国人那种管理事务、照顾自己的自主性,无疑教给了我一定的独立解决问题的能力。至于化学,我想起了用氰化法回收黄金,那加工过程中弥漫的气味使我对此记忆尤深,倾注熔融的黄金总是一种美丽的景象,可能正是它激发了我对化学的兴趣。我姊姊还说,我喜欢以收集色彩缤纷的西伯利亚矿物自娱。
那时朝鲜还没有外语学校,因此,我八岁时被送到了长崎的一所教会学校。到我十岁,我母亲带我去了横滨,并在那里与我一起待了一年,而我则开始在圣约瑟学院读书。那是一所预科学校,由一个称作玛丽会的罗马天主教牧师和修士组成的宗教团体管理。我在那里接受了普通的中学教育,并学了最初的化学课程。
当我要开始接受高等教育时,去一里求学是没有问题的。我生活在美国人中间,又有我父亲的鼓励,因而我已决定去美国学习了。我选择了俄亥俄的达顿大学,有两个理由:首先,我们家有朋友在那里;其次,由同一个组织玛丽会,管理着圣约瑟学院和达顿大学。
我在达顿的四年和麻省理工学院研究生院的一年很快乐,我从事了使我变成美国人的一些活动,这可能也造就了我的科学品格,并代表某种个人成长的方式。先达顿、后麻省、这样的次序也是好的,这可能大大地避免了年轻人会有的不良开端,达顿大学只有四百人,他们大部分居住在由严格的修道院制度管理下的宿舍里。对精神的训练被认为与身体和灵魂的训练同等重要。我愉快地接受了各阶段的训练。在毕业班里我当了副班长,赢得了优秀网球运动员和优秀田径运动员的荣誉并因四年行为特优而获一枚金质奖章,通常,特优是受鼓励的,我恰好被授予了一枚行为金质奖章。
麻省理工学院是另一回事。我生活的地方波士顿是极有魅力的老式城市,它是一个艺术的中心。我没有如我该做的那样将全部精力投入到学业中去,但我的课外活动却有助于形成我的终身性格。正是在麻省理工学院求学期间,我才第一次感受到完全自由的快乐。大家公认,麻省理工学院缺乏人文科学,但稍微花点精力去光顾旧书店,这种缺乏就能轻松地得到弥补。为什么旧书对我的吸引力比图书馆的书还大,依然是个谜,想来这可能是期望发现未预料的宝藏。我作为化学家从麻省理工学院毕业。
尽管詹姆斯 · F · 诺里斯(James F. Norris)一一一一一位很著名的教授,也是我的研究导师——力劝我,我还是离开了麻省没有攻读博士学位。那时、我的生活费还一直由我父亲支付,而我则急于开始自立。1927年,在诺里斯教授的大力帮助下,我得到了杜邦的职位,并很幸运,得以在杰克逊实验室威廉 · S · 卡尔科特(Williams. Calcott)的指导下进行研究。我四十二年的事业就这样开始了。
那几年里,杜邦公司的研究环境在当时的工业实验室中并非完全典型。公司已经形成了基础研究部的核心,在不多的几年时间里,它就拥有如华莱士 · 卡罗瑟斯(Wallace Carothers)和年轻的保罗 · 弗洛里(Paul Flory)这样的科学家,他们在高聚物方面的研究导致了尼龙和另外一些突破性成功。而且,一般说来,杜邦是个多产的研究中心,那里一直在解决着许多有趣且重要的问题。例如,有一天我在特拉华州维明顿的杜邦实验场里访问朱利安 · 希尔(Julian Hill)时,看到了他拉着首次定向的聚酯纤维。另一次,在我工作的杰克逊实验室(它在特拉华河对面的新泽西州。)我注意到了罗伊 · 普伦凯特(Roy Plunkett)的实验室里—个激动的场面。该实验室与我的实验室只隔一条走廊。我调查并目击了从中得到第一个特氟隆含氟高聚物样品的圆筒被锯开。在那段时间,杰克逊实验室取得的重要进展还有:四乙基铅及新的石油产品、新的橡胶和一种新的冰箱及航空用氟碳烃系列。科研的气氛活跃而令人振奋,取得的成功皆在预料之中,我就是在这样的气氛中开始了我的事业。
作为新手,开始时,我致力于研究一系列典型的问题。这些问题的成功解决使我的研究事业受到了激励。稍后、我开始研究铜的油溶性沉淀,并发现了第一个用于石油产品的很好的金属失活剂。作为该工作的一个结果,是各种配体对于铜和普通过渡金属元素的催化特性的影响,它引发了我极大的兴趣,在这个领域,我工作了几年,我注意到了一个非常奇特的协同效应,在这种效应下,金属失活剂能大大增加抗氧化剂的效力。
这样,我对底物本身、特别是石油产品和橡胶的氧化降解愈来愈感兴趣当我的兴趣转移到这一方向上来时,我放下了在金属失活剂和配位化学方面的工作。40年代中期,我的事业达到顶峰,已确立了我自己在氧化降解和稳定化领域的地位。我能自由选择研究课题,并得到了当时杜邦能给予一个科学家的最高的名衔。40年代和60年代中,我的兴趣更多变了。例如,我对新的各种酞菁加成物及醌亚胺二氧化物的光化学感兴趣了。我找到了一些聚合引发剂,发现了二茂铁是一个很好的汽油抗震剂,并制取了一些新的高聚物。
冠醚的发现
但就在那时出现了一个挑战性的机会,使我又回到了配体化学。为了我想对橡胶领域有所贡献的愿望,我的同事赫尔曼 · 施罗德(Herman Schroeder)提议道:在钒的配位化学中有一个有趣的问题。这激发了我的好奇心,于是我就开始工作,我的最初目标是了解在氧化和聚合中控制钒的催化活性的因素。相对来说,这是个尚未开发的领域,先前的工作只是经验性的。正是我在这个领域的研究,才导致了冠醚的发现,现在我将叙述这一发现。
正如我已讲过的,我曾对石油产品和橡胶的自动氧化及其用抗氧化剂的阻缓研究过多年,自动氧化能被痕量的金属如铜和钒大大地催化。因此,我研制了前面指出过的那些化合物,即“金属失活剂”,它们能将金属公转化为非活性的多配位络合物从而抑制其催化活性。第一个这种化合物是N,N' - 双(邻 - 羟基苯亚甲基)- 1,2 - 丙二胺,这是个已在工业中使用多年的很好的铜失活剂。
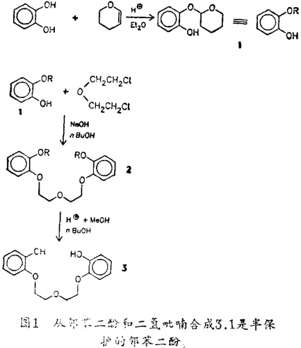
1960年,当我回到配位化学研究时,我决定研究双 - 和多合苯酚类配体对氧钒基团VO的催化特性的影响。我所选择的多合配体是双[2 -(邻 - 羟基苯氧基)乙基]醚3,它的合成如图1所示。我在合成进行中时,已知道半保护的邻苯二酚1中混有大约10%的未反应邻苯二酚。但我决定仍将这个混合物用于第二步反应,因为无论如何在最后总要纯化的,反应如图1所示的进行,并给出了一个粘乎乎的产物混合体。初次纯化,得到了一个少量(大约0.4%产率)的白色晶体,其平滑的纤维状结构和在含羟基溶剂中明显的不溶性引起了我的注意。
这一少量未知物的出现使我感到困惑。它大概不是目标化合物,因为目标物可以高产率地得到。我的目的是为特定用途制备并试验特定化合物。假如我真按这一方向行进,那么我就注定要将冠醚埋没了,直到另一研究者重复我的步骤并在关键之处作了更好的选择。但是,由于我的自发的好奇心,冠醚得以免受此厄。我毫不犹豫地开始研究起了这一未知物质。
未知产物在甲醇中很难溶解,其中性溶液的吸收曲线具有酚类化合物的特征。溶液用氢氧化钠碱化后,按预期曲线将不受影响或移向长波。但所得光谱却显示无两种效应。同时,我注意到,在氢氧化钠存在下,纤维状晶体能完全溶于甲醇中。这看起来很奇特,因为该化合物并不含有苯酚基因,它的红外和核磁共振光谱也都证实了这一点。随后,我发现,在含有任何可溶性钠盐的甲醇中,这化合物都能溶解。因此,不是由于碱性,而且由于钠离子才使其溶解度增大了。但是化合物的这种行为却无显然的解释,因为其元素分析符合2,3 - 苯并 - 1,4,7 - 三氧环壬 – 2 - 烯(4)的结果,而在氢氧化钠存在下,邻苯二酚与双(2 - 氯乙基)醚反应生成这一产物似乎又是合理的。但是,当我获悉它的分子量为4的整两倍时,天启来了。真正的结构是个18元环,二苯并[18]冠 - 6(5),这是第一个也是使用最广泛的芳香冠醚化合物(图2)。形状像一个环面或一个油煎圈讲。
那时候,对我来说这似乎是清楚的了,即钠离子陷进该分子中心的穴中去了,并由于离子的正电荷与多醚环中对称地沿环排列的六个氧原子上的负偶极电荷之间的静电吸引力,钠离子得以保持在那里。试验表明,别的碱金属离子和铵离子的行为也与钠离子相似,这样,终于合成到了与碱金属离子形成稳定络合物的中性化合物。到那时为止,还没有人找到过一个与钠和钾形成稳定络合物的合成化合物。
我在这个研究期间激起的热情,那时达到了顶峰,各种设想在我的头脑中纷至沓来。我的最初的行动之一与其说由科学激起,毋宁说由美学激起^图3所示的计算机模拟模型所描绘的三维结构使我获得了极大的审美享受,捕获那些迄今为止一直固执地反抗着的碱金属离子,这是多么简易,优美而有效的工具啊;对这类大环多醚的第一个成员,我使用了描述词“冠”,是因为它的分子模型看起来像一个王冠,正离子能够戴上或脱下它,而对两者都没有实质的损害。随着研究的进展,我建立了简略的冠醚命名体系,因为冠醚的正式命名法如此复杂,我很难记住。使我感到特别欣慰的是,这个仅为已经鉴定的大环多醚而设计的缩短的命名体系已通过科学的编排保留下来了。
这个发现的另一方面使我充满了惊奇。在普通有机反应中,只有5,6,或7元环容易形成。但在这里,两分子的邻苯二酚作为少量杂质存在与两分子的双(2-氯乙基)醚反应,一步就形成了一个18元环,进—步的实验表明,5可以从这些中间体以45%的产率取得而不必求助于高稀释技术。这是极出乎意料的,必有某些很好的机制才能得如此不寻常的结果。我的结论是,在闭环的一步无论是通过第二分子邻苯二酚还是第二分子双(2-氯乙基)醚,都受到了钠离子的促进,通过离子 - 偶极相互作用,钠离子将分子各部分“缠绕”在它的周围而形成了四分之三的环,使其易于最后的成环,这种方式很像卟啉和酞菁合成中用到的方式。后来的实验似乎也支持这一假设。用氢氧化钠和氢氧化钾制备5的产率比用氢氧化锂或氢氧化四甲基胺高。锂离子和季铵离子不能与多醚强烈地络合。最好的络合剂是含5 ~ 8个氧原子的15-24元环。它们的合成产率比较小或较大的环或同样大小却只含四个氧原子的环为高。最后,发现即使某些开链多醚也能与钠和钾离子形成络合物。
就这样,我发现了第一个冠醚也是第一个能络合碱金属正离子的中性合成化合物:二苯并[18]冠-65。
我有了一些极不寻常的东西,我带着这样的想法和极端的好奇及希望,将我随后几年里的全部精力都投入到研究这类迷人的配体及其与无机离子的相互作用中去了。每一次成功的实验都带来别有意味地新奇的结果并导致对还要合成什么以及这些不平常物质的许多潜在应用的新设想。
我对于“络合物”的稳定性及其行为的原因尤其感兴趣。例如,我发现,每个正离子为了络合物具有最大稳定性,都有多醚环的一个最佳尺寸。即使匹配不是最好,络合物也能通过每个正离子两个多醚分子形成三明治型络合物而形成。某些盐络合物的热稳定性,如KCNS的络合物,由其熔点高于各组分的熔点而得到证明。
大环多醚的制备及性质
在好奇心驱使下,我开始执行广泛的合成计划以考察盐络合物稳定性的内在因素(诸如孔和正离子的相对大小、多醚环中氧原子的数目和对称排列)。最后,制备了大约60个多醚环中包含12 ~ 60个原子,其中有4 ~ 10个氧原子或一些氮和硫原子的大环多醚。这些化合物多数不能用作络合剂,但通过它们却确定了那些环中含有5 ~ 10个氧原子(每个氧都为两个碳原子所间隔)的有效的化合物。我也注意到,甚至整个分子如硫脲也能与某些冠醚形成络合物。
芳香大环多醚的一些普通性质如下:它们是中性而无色的化合物,有明显的熔点;在水和乙醇中不易溶解,在芳香性溶剂中溶解度有限,而在二氯甲烷和氯仿中则极易溶解。它们能发生芳香醚类特征的取代反应(卤化、硝化等),在酸性条件下用多聚甲醛处理会形成甲醛树酯。而引起醚键断裂的反应则会使它们分解。
用钌催化剂催化氢化芳香大环多醚能非常简易地获得饱和化合物。从含有二个或多个芳香侧环取代基的化合物得到桥键异构体。例如:二苯并[18]冠 - 65,给出全氢二苯并[18]冠 - 6的混合立体异构体。饱和多醚是无色的粘性油类或低熔点固体。它们对热是稳定的,但是,与芳香化合物一样,在高温下必须与氧相隔绝。整体来看,它们在所有溶剂中溶解度都大大高于芳香化合物,大部分甚至能溶于石油醚中。
作为络合剂,大环多醚的特异性质是能选择碱金属离子,而用于过渡金属的各种配体却不能与这些离子形成络合物。冠醚化合物能与某些或全部碱金属和碱土金属正离子络合,也能与铵离子及别的离子络合形成稳定的晶体络合物或络合物溶液。某些冠醚如全氢二苯并[18]冠 - 6能与Co(Ⅱ)及别的一些过渡金属离子络合。与相应的芳香化合物比较,饱和冠醚是更好的络合剂。
大环多醚和盐类间形成络合物,有三个判断标准:①络合物作为晶体分离;②芳香化合物紫外光谱特征的变化;③多醚和盐类在不同溶剂中溶解度的改变。
多醚环中心的孔有不同的直径,未络合的正离子的大小也不同。因此,根据孔和正离子的相对大小,已经制得多醚/正离子比率为1:1,3:2和2:1的晶体络合物。芳香性大环多醚倾向于生成不易溶于非质子这剂的高熔点络合物,而饱和化合物则生成较易溶的低熔点络合物。大部分纯络合物能被水分解,分解速率和程度则取决于水的比例和温度。
从一开始就假设过,含氧原子少于7个的大环多醚所形成的络合物由对称地排列在一个平面内的氧原子围绕着一个正离子所组成。这一结构观点的基本正确性已由M. R. Truter教授和她的合作者证实了。他们最先用X-射线衍射法确定了一系列冠醚化合物的晶体盐络合物的结构。
所有含有一个或多个苯并基因的大环多醚在甲醇中都具有275 mμ的特征最大吸收,曲线形状在加入可络合盐类后发生改变。光谱数据几乎总能被另两条标准所证实。
大环多醚和可络合性盐类在能溶解络合物的溶剂中彼此增加其溶解度。有时,这些效应颇为壮观;例如,硫氰酸钾的溶解度为大约0.1 mol·l-1增大了100倍。某些饱和多醚如全氢二苯并[18]冠 - 6,具有在非质子溶剂中溶解碱金属盐特别是钾盐的有用性质。加入它后,高锰酸钾、叔丁醇钾或四氯钯钾(PdCl2+2KCl)的晶体能溶于液体芳香烃中。高锰酸钾的冠醚络合物使甲苯变成紫色,这是很有戏剧性的。多醚使苯基钾溶于正庚烷,但多醚环渐渐地为此有机金属化合物所分解。饱和大环多醚的溶解能力使得离子型反应能在非质子介质中进行。预期这一性质将在催化,化学活性的增强、盐类的分离及回收和分析化学中获得实际应用。
饱和大环醚的络合能力可以在冠醚作为被测定剂存在下,通过测定有色碱金属盐(如苦味酸盐)在不溶性有机溶剂和水中的相对分布而作数字分类。若多醚没有效用,有机相则显无色;若多醚络合能力极强,则大部分颜色将在有机相中,一般多醚的络合能力将处在这两种极限之间。
K. H. Frensdorff博士用带正离子选择电极的电位计测定了许多大环多醚与碱金属离子的1:1络合物的稳定常数。多醚对不同正离子的选择性随环大小而改变,最佳的环大小是正离子恰好能与孔相匹配,即时钠离子为15-18元环,对钾离子为18元环,对铯离子为18-21元环。
我知道,冠醚在继续引起生物学家对研究离子?过细胞膜的转移机制的极大兴趣。但是,不论是在生物学中或别的什么领域,我衷心地希望,在不久的将来,与之相关的,不是由谁发现了冠醚,而是它将发展于人类极有裨益的重要事业。
[Anyew. Chem,Int. Ed,Engl. 27(1988)]


