中国科学院于1991年1月25日至28日在北京召开了复杂性科学研讨会,这是国内举行的第一次有关复杂性问题的科学研讨会,会议旨在打破自然科学各学科领域之间甚至自然科学与社会科学之间的壁垒,采用现代科学思维方式,促进对自然界和人类社会中普遍存在的复杂系统的研究。
提交会议的学术论文内容广泛,大致归成七类,即:一,国际复杂性科学研究进展;二,复杂系统理论;三,社会经济系统;四,生命系统;五,人地系统(人与自然界的相互作用);六,地球系统与日地系统;七,信息系统(主要研究未来的计算机系统)。
会议共安排了45个报告,报告人及报告题目如下表所示:
15.1
考虑到国内广大科技工作者、高等院校广大师生对复杂性问题的学术动态十分关心,本刊选择了“复杂性科学研讨会”中的部分报告的内容摘要(根据记录整理)刊登于后,以飨读者。
张焘:关于促进复杂性研究的思考
本报告介绍了美国贝克曼研究所、日本尖端技术与科学研究所关于复杂性研究的进展情况。
美国的贝克曼研究所将人工智能和新一代计算机的研究作为重点,而日本的尖端技术与科学研究所并不是明确地规定研究复杂性问题,而是将“多学科性、国际性、开放性,面向世界和流动性”作为办所的宗旨,科学家自由选题进行研究。
报告指出,国内的研究在整体上是薄弱的、描述性的,学科之间长期处于分割研究状态,造成人力物力的浪费,影响了科学潜力的发挥,综合性研究体系少,多学科研究没有体现出整体性。
通过复杂性科学研讨会,使这方面的研究工作在经费很少的情况能够开展起来,这就是_软起动而最终需要通过各个学科的研究使复杂性科学研究能够真正取得有科学价值的成果,这就是“硬着陆”。
郝柏林:符号动力学和复杂性的刻划
报告首先引述了恩格斯在《反杜林论》第二版中的—段论述:“无论如何,自然科学现在已发展到如此程度,以致它不能再逃避辩证的综合了”,作为从整体上,综合地研究复杂性问题的出发点。
郝柏林指出,普里高津在《探索复杂性》一书中没有讲明什么是复杂性,没有对复杂性下一个定义,本报告也不准备为复杂性下定义。
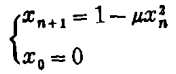
报告指出,傅里叶在1871年研究热对流时提出的傅里叶级数实际上就是普适性的发现,也就是复杂性问题。在许多情形下由于错误的坐标系投影造成了问题的复杂性,例如非平均场→平均场;非线性→线性;非马尔柯夫过程马尔柯夫过程都是从繁到简的过程。
以迭代(重复应用同一规则)过程为例,方程
Xn+1=1-μxn2或复数时z n+1=1-μzn2
的迭代就产生出众所周知的复杂曲线或曲面图案。
如果把复杂性与随机性作一比较,可以说随机性并不是复杂性,复杂性是有结构的,具有自组织功能的,完全的混沌的度量是熵。熵是状态的函数,而复杂性则是过程的函数。
报告还论述了图灵机,哥尔德定理和曼德布洛特集合等问题,报告中建议用符号动力学来刻划复杂性问题,以生态学中的虫口模型
进行迭代,在微机上对给定的不同μ值进行100步迭代运算,可以看出结果的不同和复杂程度,因此在有限精度条件下,符号动力学是描述动力学系统的严格方法。简言之,上述模型在迭代时,结果如大于零用R符号表示,小于零用L符号表示,零值用C符号表示,在程序运行100步后,可以根据符号序列的复杂程度来判别所研究对象的复杂程度。
报告的全文刊载Physica D上,已出版。
赵凯华:适应性系统与自发行为
报告首先介绍了美国Los Alamos非线性研究中心的科研进展情况,列举研究范例,如
1. 孤立子与相干结构;2. 决定性混沌与分形;3. 图像与复杂位形;4. 适应性与自发行为。
其中适应性、自发行为均与学习的功能相联系,可以归结到人工智能,神经网络研究中,传统的人工智能缺乏从环境中学习,举一反三的推广,发现事物之间的联系和初步判断等能力,神经网络则有以下重要特性,即
一、自发计算:非建立在规则上的算法和非算法的算法;
二、高度并行性:分布式存储,容错性、鲁棒性(Robustness)或粗壮性和全息功能(不因为个别部分出问题而丧失记忆)。
神经网络的研究从40年代Me Culloch和Pitts的二元阈值模型,50年代Hebb的学习法则到60年代Rosenblatt的感知机形成了第一个高潮,70年代转入低潮而80年代Hopfield引入能量函数使神经网络的稳定性有了明确的判据,其后出现联结主义与反传播算法而形成第二个高潮,报告还指出神经网络计算机的研究趋势,并指出神经网络研究中所显示的一系列复杂性问题。
戴汝为:从定性到定量的集成
报告介绍了钱学森近年来的学术思想,指出从控制论向系统论发展所经历的四个发展阶段:
1. 系统论是控制论之上的一个层次;2. 开放的复杂巨系统及其方法论研究;3. 开放的复杂巨系统的理论形成;4. 从定性到定量的综合集成技术。
报告认为开放的复杂巨系统理论是解决复杂性问题的途径,尤其是将专家群体(各方面有关专家)、数据和各种信息与计算技术综合、定量化而形成“从定性到定量的综合集成技术”是巨系统理论发展的重要阶段。
报告认为复杂性是一种相对的概念,论述了由吴文俊教授创立的初等几何证明的形式化方法,模式信息处理向知识信息处理方面发展的有关问题。
朱照宣:非线性动力学中的复杂性
报告回顾了非线性动力学的发展过程,从研究复杂性的观点指出:
1. 非线性包含线性;2. 科学不等于一切学科的相加;3. 非线性不等于各学科非线性的并集;4. 整体不等于部分之和,即Φ(A+B)≠Φ(A)+Φ(B)。报告指出动力学中的流→映射→确定性→敏感初条件到长期行为不可预测性是一个复杂性演化过程,平衡态相应于相空间的不动点;振荡态相应于相空间的极限环;混沌态则相应于相空间的Lorenz吸引子。在连续统中的自组织现象;偏微分统+耗散结构→有限自由度的吸引子都是复杂性的表现。
程代展 洪奕光:控制:从简单到复杂
报告指出非线性是系统的局部性质,动力系统与控制的组合构成了控制系统,在动力系统结构分析中,中心流形对应于反馈稳定性;结构稳定对应于鲁棒性;分形对应于能控性与能达集,通过反馈可使非线性系统简化为线性系统,通过解耦可以把大系统分解为若干小系统,所应用的数学工具则由Laplace变换→常微分方程→微分几何→李代数→纤维丛的逐步深化过程。同时报告还分析了不确定性与复杂性之间的关系,即如下列方程所描述:
郑应平:复杂系统的控制问题
报告指出控制理论的主要目标之一是克服被控对象的不确定性。同时详细分析了设计控制系统所遇到的不利因素与有利因素,不利因素包括:
1. 许多规律不明,知识不全;2. 环境不确定,产生多种复杂性;3. 技术手段受限制;4. 综合分析存在困难。
而有利因素则包括:
1. 对人工设计的系统可规定法则;2. 绕过不明之点,例如混沌区域;3. 设定有限目标以及具体实现;4. 利用计算机CAD新手段。
从本质上讲,自动化是人 - 机界面不断提高的过程,控制系统的发展经历了系统工程,军事作战模型到大系统等几个阶段。
报告强调指出程序化并不能看作智能。
姜璐:复杂系统的层次结构
报告认为用常规的解析办法不能解决或讨论的问题,需要用综合的、非传统的、多学科的办法来解决,这就是复杂系统。它具有层次结构,其中包括:
1. 组织形式上的层次(人体、生物体、社会组织等);
2. 时间上的层次结构,也就是说有不同的时间演化尺度,例如在地学系统中
大气圈:时间尺度为秒,分;
生物圈:时间尺度为天,月,年;
岩石圈:时间尺度为万年。
3. 空间分布上的层次结构,例如天体系统。
报告指出哈肯(H. Haken)在他创立的协同学中用役使原理(Slaving princeple)描述相变,说明在复杂系统中由慢变量支配快变量,从而决定了系统的演化过程。
马世骏 王如松:生态系统
生态系统包括人在内的自然科学和包括社会的人文科学,它是一个复杂系统,其特点是组织的异质性,关系的多样性,环境的随机性,规律的模糊性,认识的局限性,多目标的不能合并性研究的方法可以是网络的复合,目标的复合,方法的复合和人员的复合,对复杂性从优化转变成学习过程,无论是理论生态学还是模拟生态学,其复杂性表现在系统是开放的、粗糙的、偏序的,不确定性的;生物与环境共同组成结构功能单元,在研究生态系统时最重要的是寻找关键因子来描述生态系统的演化规律。
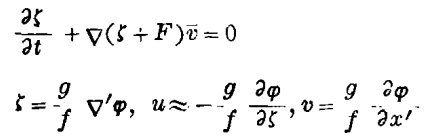
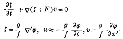
叶笃正:大气科学的发展过程和趋势
报告指出电子计算机,气象卫星与雷达观测技术对大气科学的发展起到巨大的推动作用,50年代由冯 · 诺伊曼作了24小时的气旋预报告获得成功,使天气的预报从经验上升到理论水平,当时采用的数学方程是很简单的,这一组预报方程如下:
在t=0时,给定φ(x,y),ζ,u的初值。
当前大气科学从两极向前发展,一个极是全球性的气候计划与气候系统,它包括大气、海洋、冰雪、陆地和生物;另一极是微观方向,在数学方法的描述中计入各种小尺度微量成分和因素的影响。
报告人指出仅仅是大气本身的变化运动就已十分复杂,准确的预报已是十分困难,如再把研究对象扩大到海气、陆气相互作用,那复杂程度就难以估量了,只有用更先进的计算机才能进行数值模拟。
报告人回顾了E. N. Lorenz在60年代从大气热对流方程的求解中发现混沌现象的划时代科学意义。
曾庆存:气候和环境生态系统动力学的研究方法
报告人首先指出,大气是一个复杂系统,但复杂系统并不一定具有复杂性或复杂行为。
大气科学当今研究的目的是:1. 未来全球气候预测;2. 旱涝预测(短期气候异常);3. 自然改造工程;4. 对地球和环境演化过程的认识。
而采用的研究方法是:1. 建模(分解与综合);2. 初检验(理性的检验),它包括整体性、适应性的检验与个例检验;3. 系统的初等检验,简化模式;4. 信息与资料的处理与反问题;5. 计算与解析方法;6. 写出控制方程。
在建模时要考虑动态过程的数学理论表达,演变的复杂性问题和预测问题,一个建模的过程可归结为下列问题:
对于气候和环境生态系统,上述方程必须符合物理定律和生化过程;分系统的数学描述越准确越好;还要考虑系统间(内边界)的相互作用,列出信号流程图,分析数学方程的闭合性即是否可解。
报告指出,对于复杂性问题而言,理性检验是至关重要的一个步骤。一个动力学系统的整体性质必须服从质量守恒、能量守恒和角动量守恒,其次,在数学上是否是适定的,也就是可解性判别,这是极其困难的,一般是对各分系统进行个别检验,在对模式作初等研究后进行简化时所有的特征量(包括系统的、背景的、空间的和时间的)都要无量纲化,进一步使其参数化,逐级近似。
曾庆存指出,对大气旋转适应过程加了扰动之后出现自适应自组织过程,能流由小到大,而熵流则由大到小,出现无穷嵌套过程表示系统的退化。
刘式达:对复杂性问题的几点认识
报告指出,作为复杂性的著名难题湍流仍然没打确切的定义,它的特征是随机、扩散和耗散性质。
一、复杂性的特点:
1. 层次性(Hierarchy):层次不同其功能也不同。
生物:细胞、器官、机体和种群;
人脑:神经元群、形状、颜色和气味;
气候:月、季、年和千年等层次;
社会:居委会,乡,县,市,省,中央等组织层次。
2. 鲁棒性(Robustness):各个层次并行运算,个别元件损坏不影响整体功能。
3. 奇异性(Singularity):主要是结构的非均匀性分布。
二、复杂性的度量:从低层次上看是不确定的,从高层次上看是确定的、用熵来度量复杂性是统计平均的结果,玻尔兹曼熵
香农熵(I=-∑PilnPi)在数学表达上是相同的,局部看是杂乱的,巨观上看是有结构的,熵就描述了这一情况,还有柯尔莫哥洛夫熵在动力系统中的应用等。
三、鲁棒性:它说明初始条件的丧失不影响演化过程,即状态与初条件无关,扰动不会影响鲁棒性;而混沌则说明无论什么初条件最终都会达到混沌态。
四、信息压缩:可能的状态减少,其概率越大,耗散系统是一个比较好的信息压缩机,符号动力学也是信息压缩的方法。
五、非均匀熵:均匀状态pi=1/N对应的熵最大;非均匀信息D<均匀信息D0,负熵是非均匀性度量。
报告人一再强调指出复杂性现象在局部看来是杂乱的,不确定的;在全局看则是有结构的,确定的这一观点。
胡文瑞:日地系统的复杂性探索
报告回顾了日地系统(solar-terrestrial system)的形成过程和所经历的各个主要阶段:
1. 牛顿力学:主要处理能量与二体问题;
2. 50年代:太阳风理论、磁层与发电机理论;
3. 60年代:空间探测,结构的发现;
4. 70年代:多过程的结合;
5. 80年代:耦合过程;
6. 90年代:整体行为。
日地系统的复杂性主要表现在以下五个方面:
1. 多过程:力学、电磁学,等离子体,高能,化学、连续介质力学,无碰撞等过程同时发生;
2. 多区域:日、地,行星、磁层、电离层和大气等多区域的过程;
3. 耦合性:区域间耦合,过程间耦合;
4. 整体行为:各种过程之间的相互联系;
5. 多学科:日地系统是力学;地球物理,大气物理,高能物理等许多学科的交叉与综合。
目前日地系统的研究已接近获得重大突破的前夕,混沌,湍流理论研究无疑促进了日地系统研究在纵深两方面迅速发展。
郭爱克:脑——世界的选择性表征
本报告包括五部分,即序言——脑研究对世界的挑战;突触的可变性与Hebb突触;学习与记忆的神经机制;视觉与脑的信息加工;脑理论的进化树。
报告指出,脑是有序结构,具有不可还原性(高级思维)和集团性作用。短期记忆发生在细胞质长期记忆在细胞核内。人类已经登上月球,但人类想要了解人脑是如何工作的还要经历艰苦而漫长的探索之路,这就是脑对世界的挑战。
汪云九:神经系统处理信息中的基本理论问题
本报告论述了神经系统处理信息的非线性特性,学习的记忆问题,信息的产生和增加以及可观性,同时指出神经系统的分布式记忆特点,对PDP模型存在的问题也进行了分析。
王汝笠:光学神经网络与复杂性科学
当前光电子技术的发展,超导材料的发现和生物工程的进步为研制模仿大脑超分散性,超并行性的光学计算机提供了基本条件。
报告指出光学计算机的主要优势是:光路在空间的可重迭性;实现三维拓扑结构和全方向运算;光的非线性处理功能(模糊信息处理和容错的鲁棒性)。
在1012量级上实现并行互联运算采用电子联结是不行的,只能用光全息方法。因为它具有自适应性(光控传感器,光神经元),光突触(BSO材料和多层网络互联的光盘)和神经元功能,已制作了空间光调制器和神经网络芯片。
报告认为微观器件与宏观功能相结合将优于CCD器件的性能。采用光电结合是发展下一代计算机的途径之一,最终可能采用光与神经元的结合。
报告还介绍了中科院上海技术物理所在研制光学计算机方面的进展情况。
李喜先:论复杂的科学系统——确立系统性科学观
报告的主要目的是把科学本身作为研究对象,采用分析与综合的方法。报告论述了如下六个问题:
一、科学系统的定义:由理论组成的整体。人类精神产物是世界3,精神状态是世界2,物理状态是世界1,人类精神产物的世界是进化到最后的产物,因而是复杂的,科学系统是最复杂的系统;
二、科学系统的特征:系统间的相互作用,有序性与有结构,等级性以及相同组成等是其主要特点;
三、科学系统的结构;
四、科学系统的功能,它包括作出解释,预见的功能以及方法论的功能在内;
五、科学系统的进化;
六、科学系统的环境。
[赵松年整理]







